LaTeX templates and examples — Assignments
Handy LaTeX templates for homework assignments to use at school, college, and university. They’re great for teachers to prep classes too.
Recent

This template aims to help the student to better organize any evaluation (UCR, 2021).

Week 3 homework for Dr Martin's class

UW TS Collingwood Template

This template is for Masters' Studemnts - Computer Science

Sample LaTeX document of math homework, created by Robert Hanson. Source: Robert Hanson webpage. This template was originally published on ShareLaTeX and subsequently moved to Overleaf in October 2019.

Experimentalphysik 6: Festkörperphysik

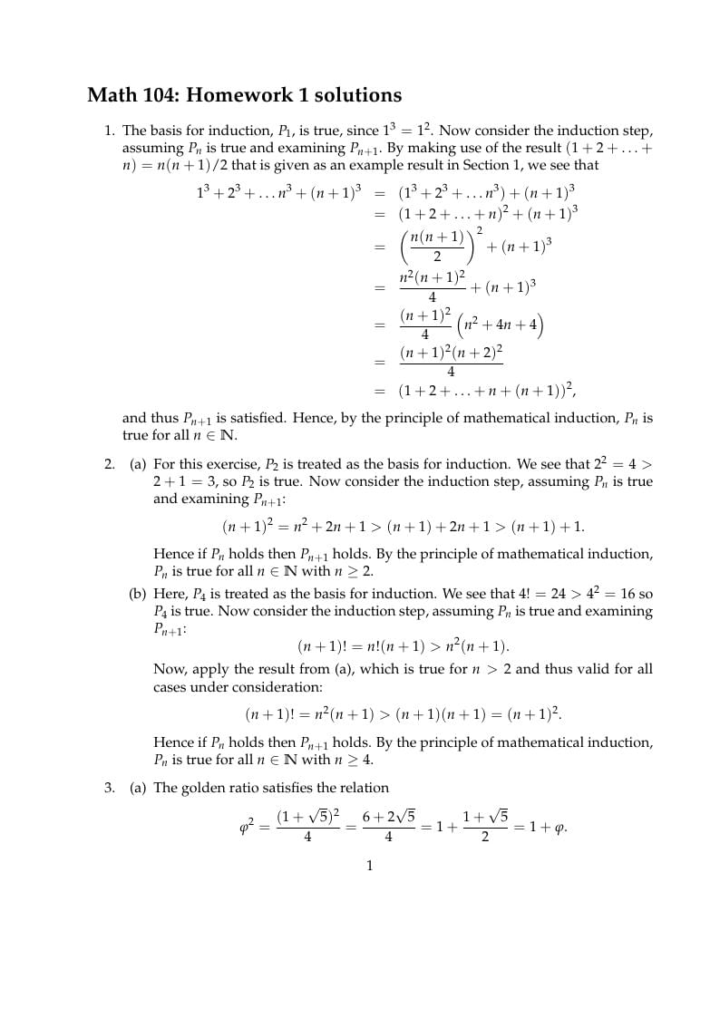
Sample LaTeX files for homework questions, with solutions, created by Chris Rycroft. Source: http://people.seas.harvard.edu/~chr/104.S12/hw/ This example was originally published on ShareLaTeX and subsequently moved to Overleaf in October 2019.

homework

Unofficial template for final reports for DBL courses. An attempt was made to write this template in accordance with the writing manual of march 20, 2018 (the latest version as of 2022). Make sure to check if this manual is still up-to-date and if not, change this template accordingly.
\begin
Discover why over 25 million people worldwide trust Overleaf with their work.