overleaf template galleryLaTeX templates and examples — Recent
Discover LaTeX templates and examples to help with everything from writing a journal article to using a specific LaTeX package.

An example flowchart using Tikz/PGF.

An example exam paper using the examdesign class, which has the following features: automatic generation of answer keys if needed; automatic generation of multiple versions of the same test; environments for constructing the most common types of test question: matching, true/false, multiple-choice, fill-in-the-blank, and short answer/essay questions. This template was originally published on ShareLaTeX and subsequently moved to Overleaf in November 2019.

An example exam paper using mathexam package features. The mathexam package can help in creating exams for math or related disciplines (which are required to show calculations followed by short answers). This example was originally published on ShareLaTeX and subsequently moved to Overleaf in November 2019.

This template was originally published on ShareLaTeX and subsequently moved to Overleaf in November 2019.

Aadhithya Dinesh's Resume

Homework assignment LaTeX template created by Ted Pavlic. Source: Ted Pavlic’s homepage. This template was originally published on ShareLaTeX and subsequently moved to Overleaf in October 2019.

Sample LaTeX document of math homework, created by Robert Hanson. Source: Robert Hanson webpage. This template was originally published on ShareLaTeX and subsequently moved to Overleaf in October 2019.

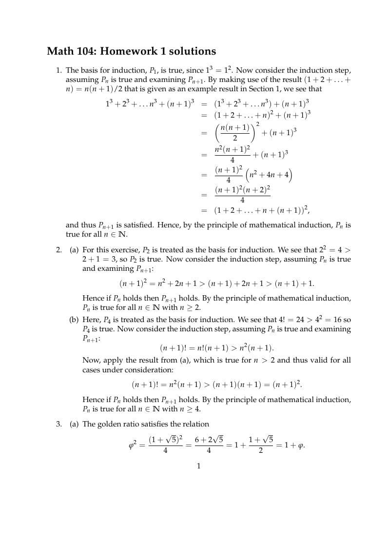
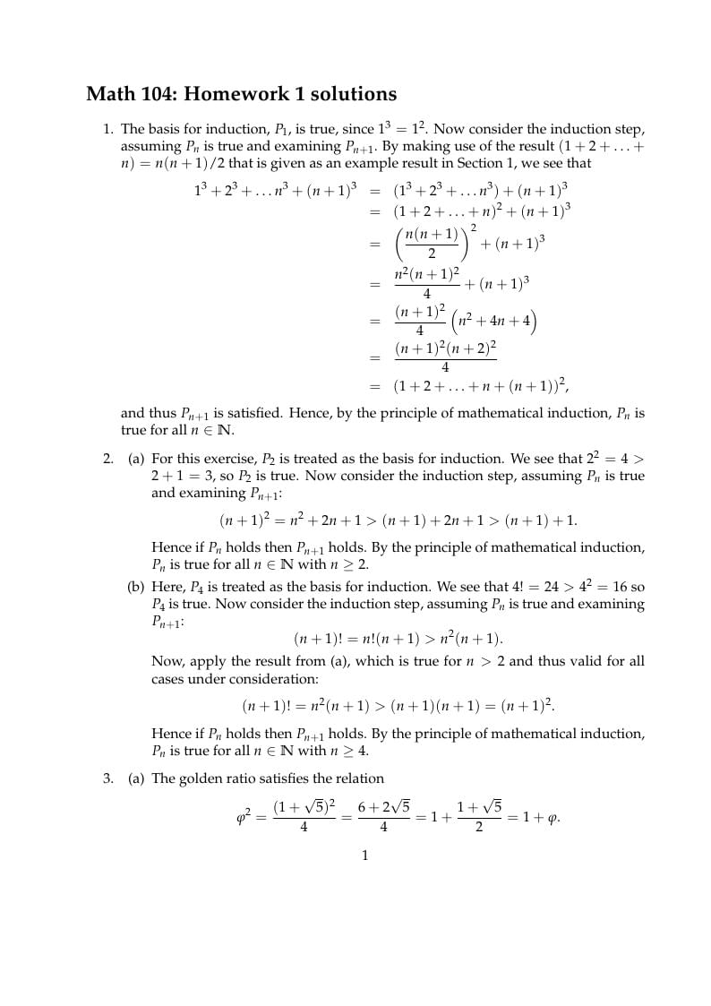
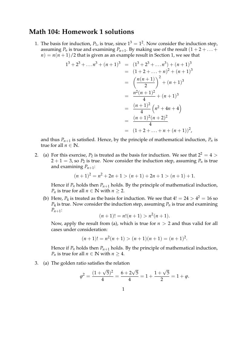
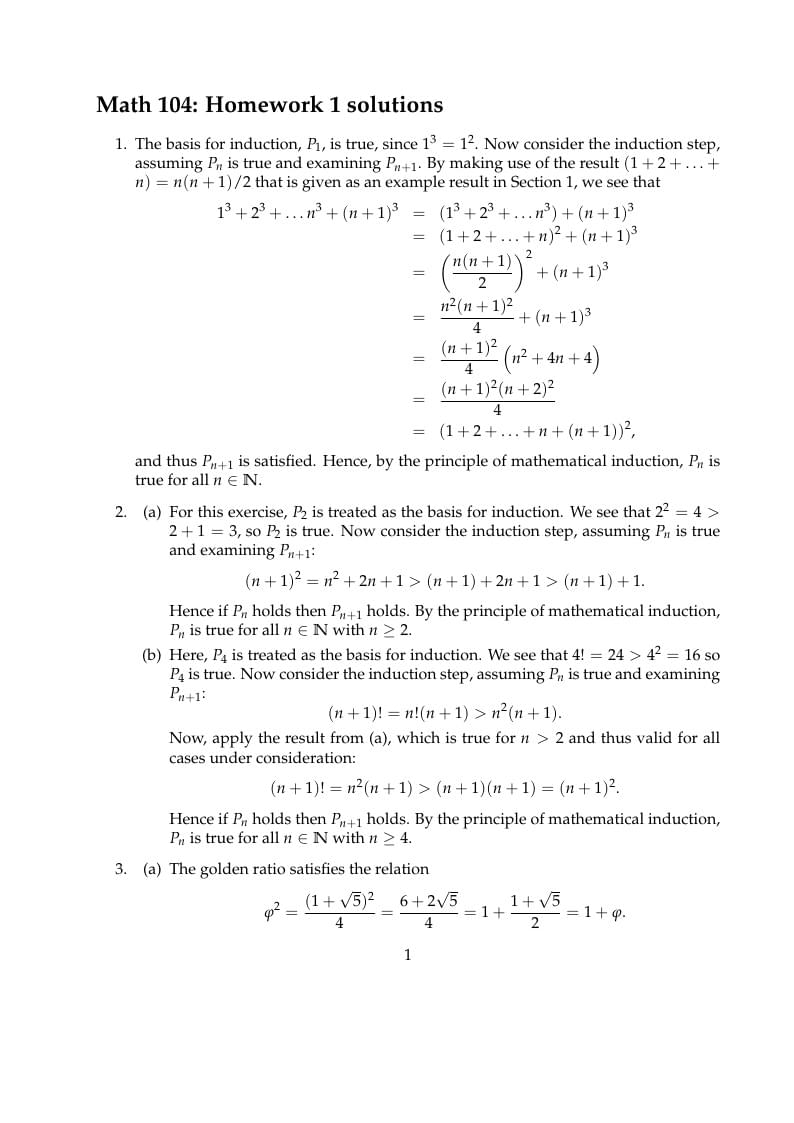
Sample LaTeX files for homework questions, with solutions, created by Chris Rycroft. Source: http://people.seas.harvard.edu/~chr/104.S12/hw/ This example was originally published on ShareLaTeX and subsequently moved to Overleaf in October 2019.

Simple brochure template created by Krishnakumar Mayuram Ravikumar. This template was originally published on ShareLaTeX and subsequently moved to Overleaf in October 2019.
\begin
Discover why over 20 million people worldwide trust Overleaf with their work.