overleaf template galleryLaTeX templates and examples — Recent
Discover LaTeX templates and examples to help with everything from writing a journal article to using a specific LaTeX package.

Power surges, blackouts and brownouts caused many troubles to computer users. Let’s face it: not every computer in the world is equipped with a battery pack or a UPS. The consequences of a power surge or blackout can be severe for your information. Let’s see what can happen to your file if the power is suddenly lost.

Template utilizado para os relatórios dos laboratórios de OAC. Pode ser que seja utilizado em outras disciplinas lecionada pelo professor

No presente trabalho vamos abordar o Efeito Hall discutindo experimentos realizados afim de estimar o valores do Coeficiente Hall de dois metais,o cobre e o zinco.Com o objetivo de compará-los com o da literatura.

Lição extraída do Livro "Oficina de Casamento" do Rev. Adão Carlos do Nascimento, por ocasião das aulas da Escola Bíblica Dominical da Igreja Presbiteriana Central de Coronel Fabriciano/MG

template for PHYS 152 students at St. Mary's College of Maryland (spring 2016)

A reproduction of a proof by Leonard Euler, which I dug out of the back of a calculus textbook with the help of Brian Burrell. This was in MATH 233 at the University of Massachusetts, Amherst, Fall 2015.

Template para direcionada aos alunos do curso de Sistemas de Informação.

Homework template for students in PHYS 152 Fundamentals of Physics 2 at St. Mary's College of Maryland (SMCM).

A very quick and easy to understand introduction to Gram-Schmidt Orthogonalization (Orthonormalization) and how to obtain QR decomposition of a matrix using it.
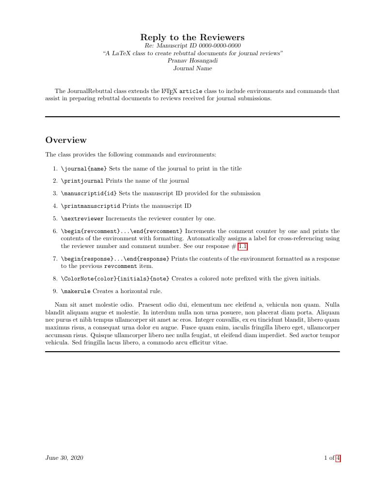
\begin
Discover why over 20 million people worldwide trust Overleaf with their work.