overleaf template galleryLaTeX templates and examples — Recent
Discover LaTeX templates and examples to help with everything from writing a journal article to using a specific LaTeX package.

LaTeX template to be submitted to the ECMS International Conference on Modelling and Simulation

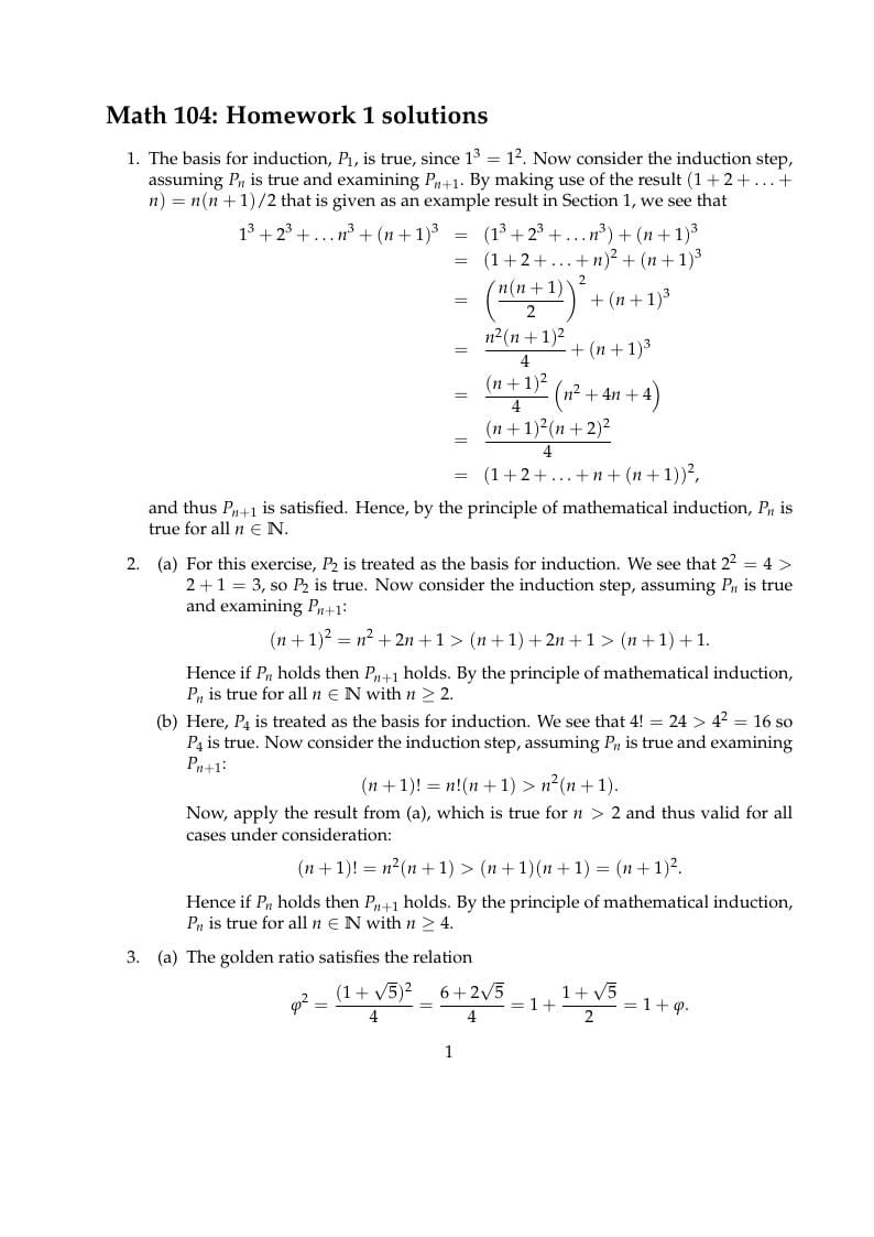
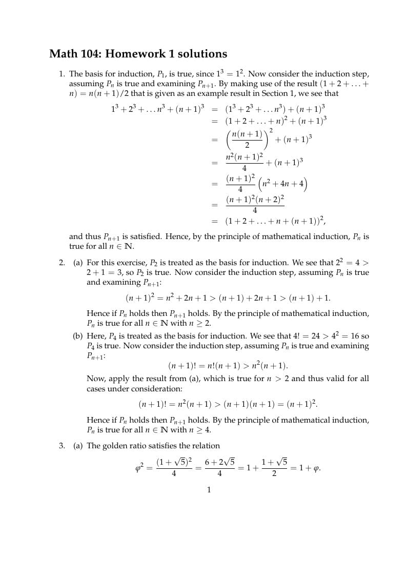
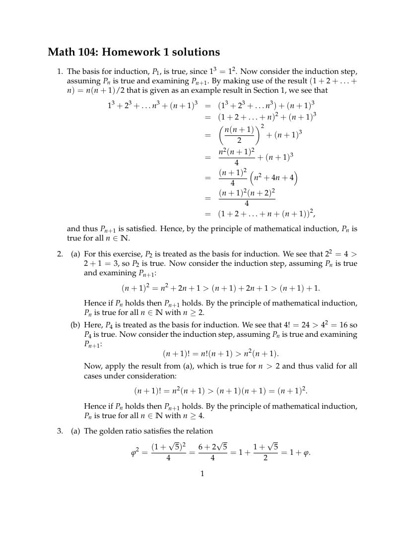
Use this for portfolio problems for MTH 210.

東京大学大学院情報理工学系研究科コンピュータ科学専攻 博士論文をを組版するためのドキュメントクラス iscs-thesis (v1.3) を Overleaf に対応させたものです。

Modelo de Slides em beamer para uso no Programa de Pós Graduação em Informática da Universidade Tecnológica Federal do Paraná Campus Cornélio Procópio.

Since version 0.7.0 of fonts-tlwg is published, XeLaTeX users now can specify Thai fonts from those package without having to upload them manually. This creates a better Thai XeLaTeX experience especially on online platforms such as Overleaf.ตั้งแต่ fonts-tlwg ปล่อยเวอร์ชัน 0.7.0 ออกมา ทำให้ผู้ใช้งาน XeLaTeX สามารใช้งานฟอนต์ภาษาไทยโดยไม่จำเป็นต้องอัปโหลดฟอนต์เองอีก ทำให้การใช้งานภาษาไทยใน XeLaTeX ทำได้ง่าย โดยเฉพาะสำหรับโปรแกรมออนไลน์อย่าง Overleaf

A template for creating a course worksheet.

CoRes est une conférence francophone centrée sur les réseaux et protocoles de communication.

This is an enhanced IEEE conference template for the IEEE Conference on Sustainable Technologies. It is of primary interest for students in the "Intro to Engineering courses" (AT TÆK1002 and T-102-VERK) at Reykjavik University.

Use this template for portfolio problems
\begin
Discover why over 20 million people worldwide trust Overleaf with their work.